BSDL 1443

Distance from Sun: 50100 pc
Age: 320 Myr
V-band magnitude: 16.30
Mass: 4.1 · 102 M
Half-mass radius: 5.20 pc
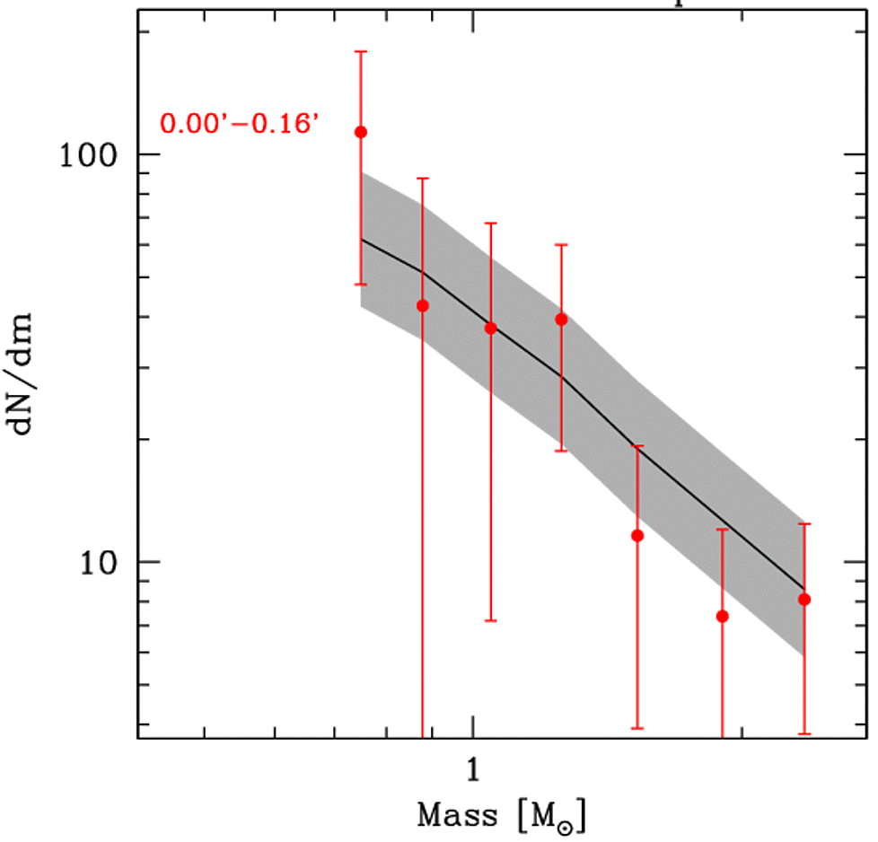
Power-law MF slope: α = -2.64


Image Source: VISTA Magellanic Clouds Survey, IoA/ROE


Observations

Proper motion Velocity Dispersion
HST photometry Color magnitude diagram Mass function

N-body Fits

Surface density Proper motions Radial velocities
Remnant fraction Mass-to-light ratio