H86-76

Distance from Sun: 62400 pc
Age: 250 Myr
V-band magnitude: 16.45
Mass: 9.3 · 102 M
Half-mass radius: 10.39 pc
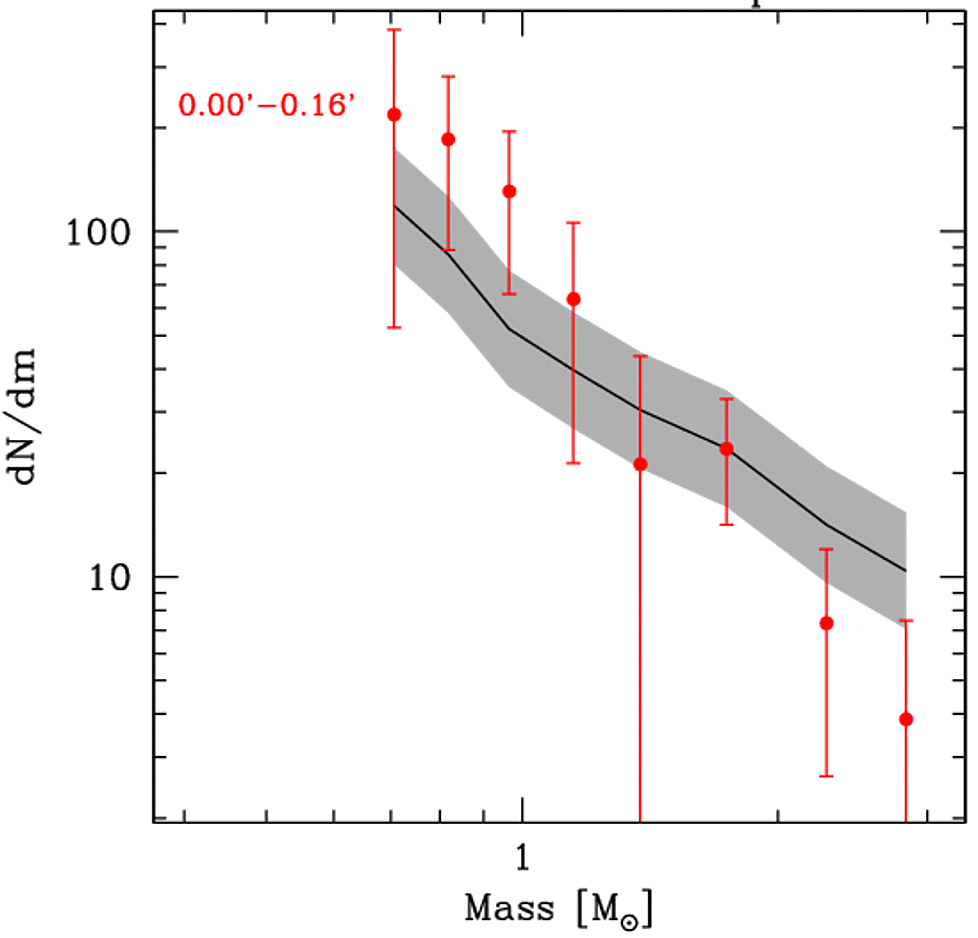
Power-law MF slope: α = -3.47


Image Source: VISTA Magellanic Clouds Survey, IoA/ROE


Observations

Proper motion Velocity Dispersion
HST photometry Color magnitude diagram Mass function

N-body Fits

Surface density Proper motions Radial velocities
Remnant fraction Mass-to-light ratio