H86-87

Distance from Sun: 62400 pc
Age: 400 Myr
V-band magnitude: 15.05
Mass: 2.7 · 103 M
Half-mass radius: 7.86 pc
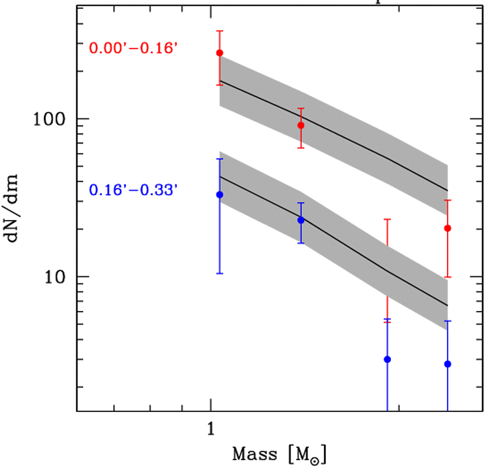
Power-law MF slope: α = -3.16


Image Source: VISTA Magellanic Clouds Survey, IoA/ROE


Observations

Proper motion Velocity Dispersion
HST photometry Color magnitude diagram Mass function

N-body Fits

Surface density Proper motions Radial velocities
Remnant fraction Mass-to-light ratio