Hodge 14

Distance from Sun: 50100 pc
Age: 1.8 Gyr
V-band magnitude: 13.42
Mass: 7.9 · 103 M
Half-mass radius: 11.12 pc
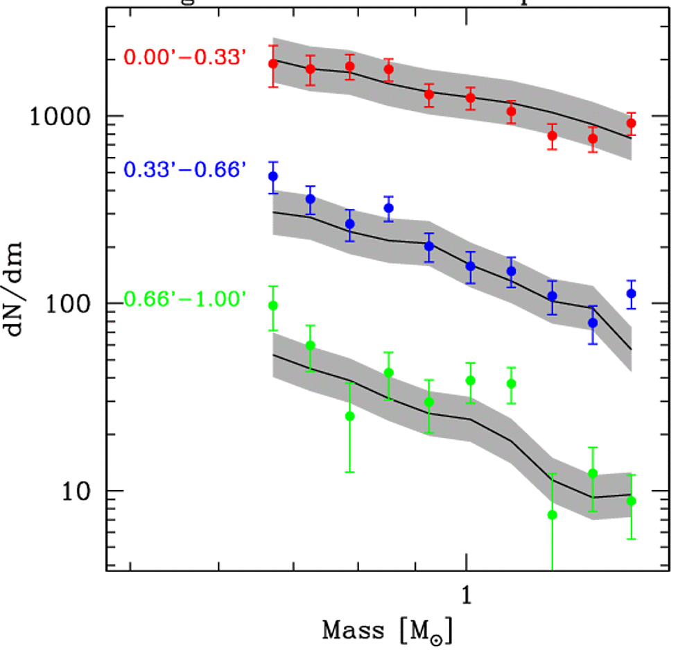
Power-law MF slope: α = -2.18


Image Source: VISTA Magellanic Clouds Survey, IoA/ROE


Observations

Proper motion Velocity Dispersion
HST photometry Color magnitude diagram Mass function

N-body Fits

Surface density Proper motions Radial velocities
Remnant fraction Mass-to-light ratio