Hodge 2

Distance from Sun: 46130 pc
Age: 1.7 Gyr
V-band magnitude: 11.90
Mass: 2.1 · 104 M
Half-mass radius: 8.70 pc
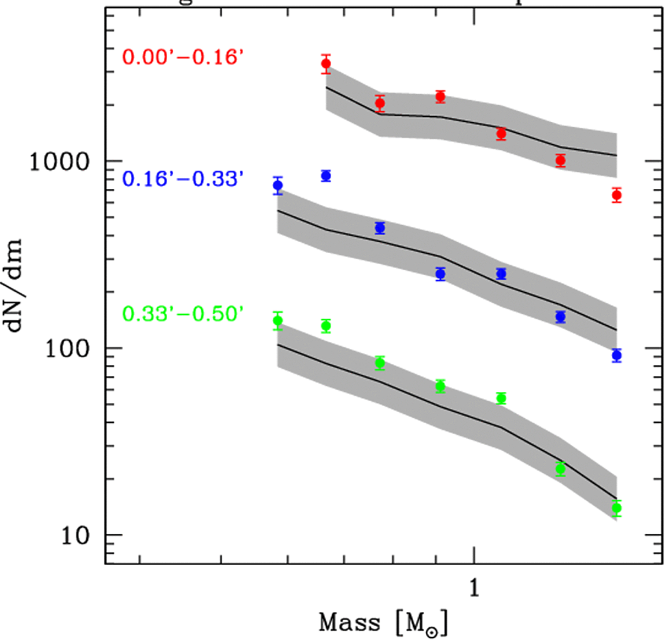
Power-law MF slope: α = -2.64


Image Source: SMASH DR2, Astro Data Lab


Observations

Proper motion Velocity Dispersion
HST photometry Color magnitude diagram Mass function

N-body Fits

Surface density Proper motions Radial velocities
Remnant fraction Mass-to-light ratio