IC 2148

Distance from Sun: 50100 pc
Age: 1000 Myr
V-band magnitude: 14.23
Mass: 1.4 · 103 M
Half-mass radius: 7.37 pc
Power-law MF slope: α = -3.06


Image Source: DSS2, Aladin, CDS


Observations

Proper motion Velocity Dispersion
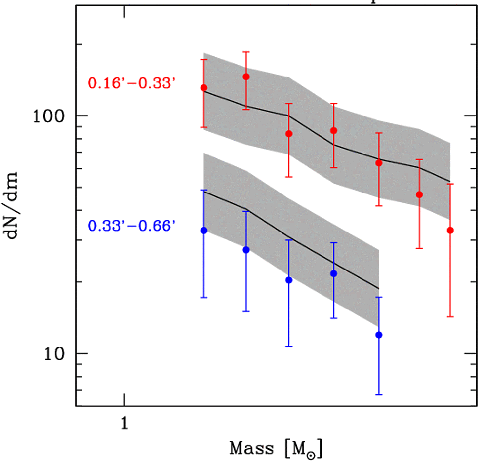
HST photometry Color magnitude diagram Mass function

N-body Fits

Surface density Proper motions Radial velocities
Remnant fraction Mass-to-light ratio