NGC 265

Distance from Sun: 63970 pc
Age: 450 Myr
V-band magnitude: 12.02
Mass: 1.1 · 104 M
Half-mass radius: 7.97 pc
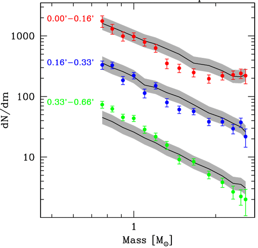
Power-law MF slope: α = -2.34


Image Source: VISTA Magellanic Clouds Survey, IoA/ROE


Observations

Proper motion Velocity Dispersion
HST photometry Color magnitude diagram Mass function

N-body Fits

Surface density Proper motions Radial velocities
Remnant fraction Mass-to-light ratio