NGC 294

Distance from Sun: 62520 pc
Age: 700 Myr
V-band magnitude: 11.94
Mass: 1.7 · 104 M
Half-mass radius: 7.49 pc
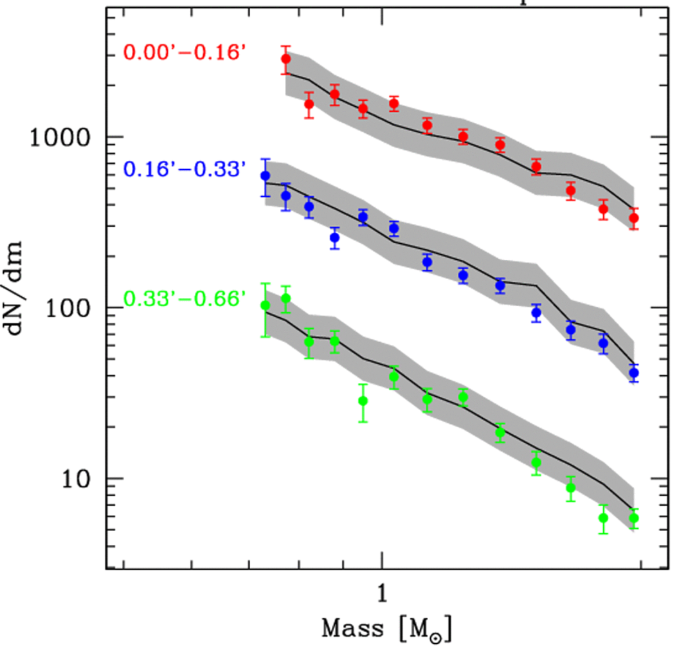
Power-law MF slope: α = -2.53


Image Source: VISTA Magellanic Clouds Survey, IoA/ROE


Observations

Proper motion Velocity Dispersion
HST photometry Color magnitude diagram Mass function

N-body Fits

Surface density Proper motions Radial velocities
Remnant fraction Mass-to-light ratio