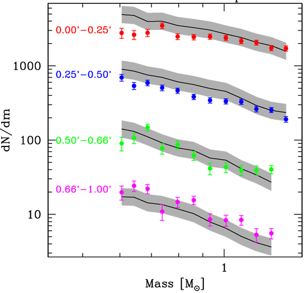
NGC 411

Distance from Sun: 62230 pc
Age: 2.0 Gyr
V-band magnitude: 11.81
Mass: 1.5 · 104 M
Half-mass radius: 8.44 pc
Power-law MF slope: α = -1.73


Image Source: ISTA Magellanic Clouds Survey, IoA/ROE


Observations

Proper motion Velocity Dispersion
HST photometry Color magnitude diagram Mass function

N-body Fits

Surface density Proper motions Radial velocities
Remnant fraction Mass-to-light ratio