NGC 643

Distance from Sun: 62400 pc
Age: 1000 Myr
V-band magnitude: 15.30
Mass: 4.9 · 103 M
Half-mass radius: 15.45 pc
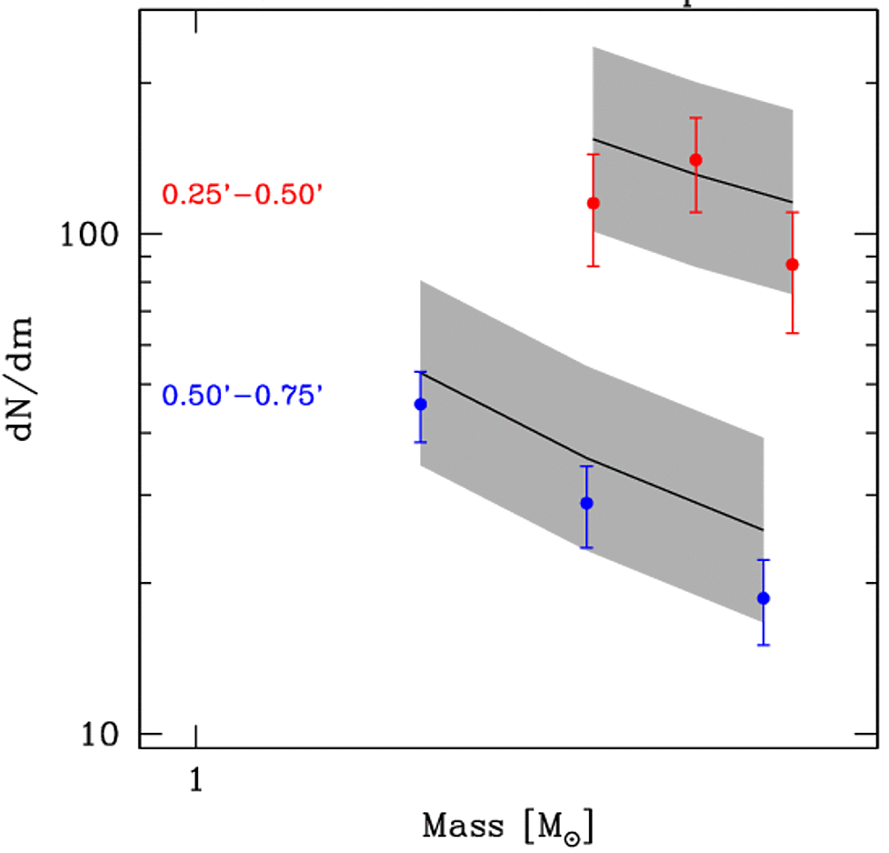
Power-law MF slope: α = -2.58


Image Source: VISTA Magellanic Clouds Survey, IoA/ROE


Observations

Proper motion Velocity Dispersion
HST photometry Color magnitude diagram Mass function

N-body Fits

Surface density Proper motions Radial velocities
Remnant fraction Mass-to-light ratio