NGC 1718

Distance from Sun: 48530 pc
Age: 2.0 Gyr
V-band magnitude: 11.69
Mass: 2.2 · 104 M
Half-mass radius: 8.75 pc
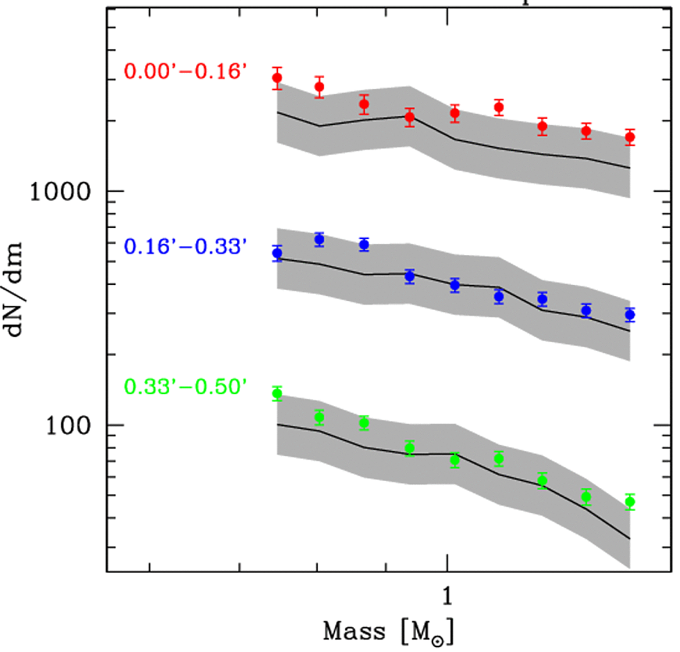
Power-law MF slope: α = -1.74


Image Source: VISTA Magellanic Clouds Survey, IoA/ROE


Observations

Proper motion Velocity Dispersion
HST photometry Color magnitude diagram Mass function

N-body Fits

Surface density Proper motions Radial velocities
Remnant fraction Mass-to-light ratio