NGC 1818

Distance from Sun: 48750 pc
Age: 70.0 Myr
V-band magnitude: 8.87
Mass: 1.6 · 104 M
Half-mass radius: 7.84 pc
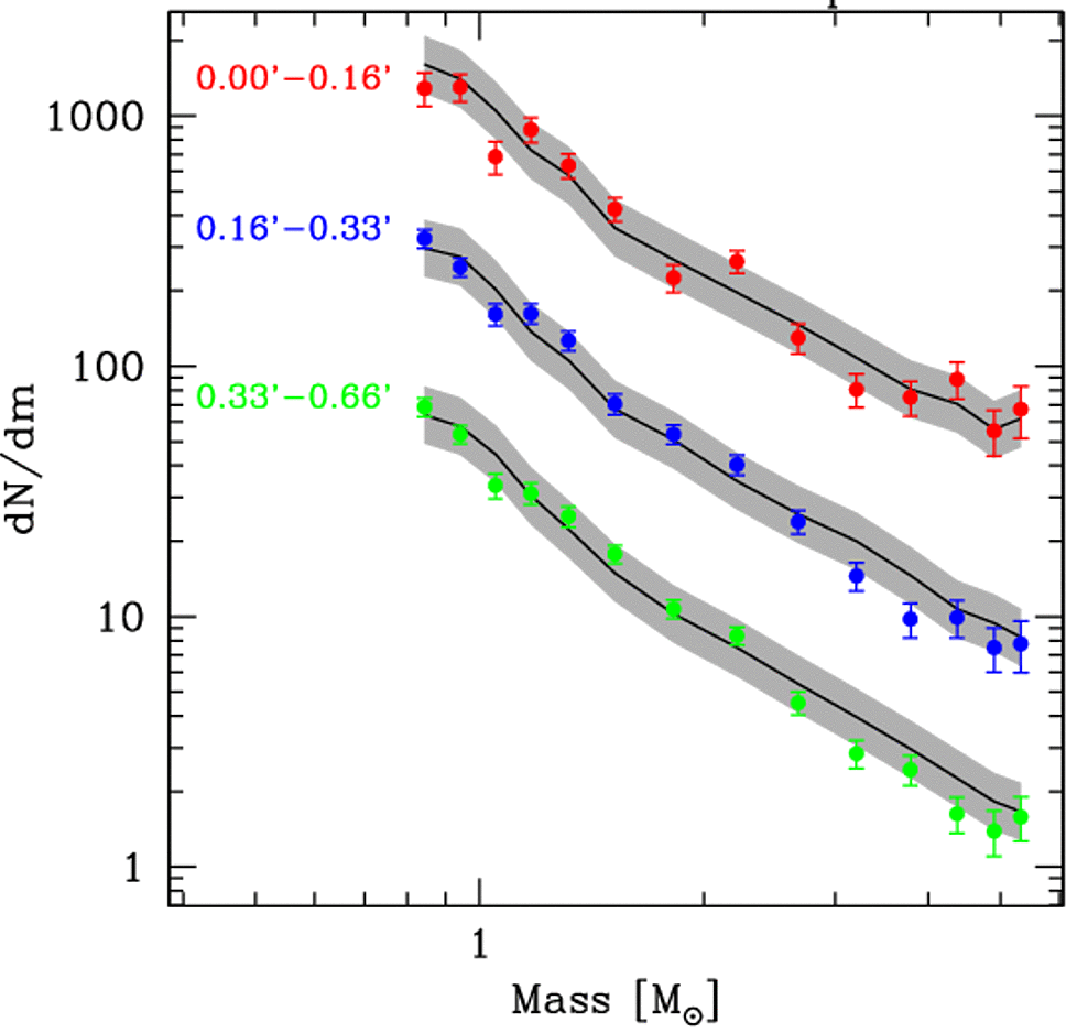
Power-law MF slope: α = -2.04


Image Source: VISTA Magellanic Clouds Survey. IoA/ROE


Observations

Proper motion Velocity Dispersion
HST photometry Color magnitude diagram Mass function

N-body Fits

Surface density Proper motions Radial velocities
Remnant fraction Mass-to-light ratio