NGC 1872

Distance from Sun: 45920 pc
Age: 600 Myr
V-band magnitude: 11.04
Mass: 2.5 · 104 M
Half-mass radius: 5.15 pc
Power-law MF slope: α = -2.21


Image Source: SMASH DR2, Astro Data Lab


Observations

Proper motion Velocity Dispersion
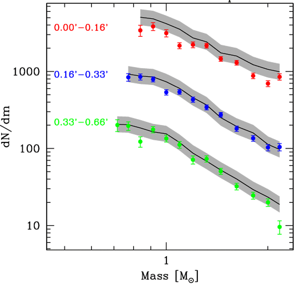
HST photometry Color magnitude diagram Mass function

N-body Fits

Surface density Proper motions Radial velocities
Remnant fraction Mass-to-light ratio