NGC 2097

Distance from Sun: 50100 pc
Age: 1.1 Gyr
V-band magnitude: 13.67
Mass: 5.5 · 103 M
Half-mass radius: 12.78 pc
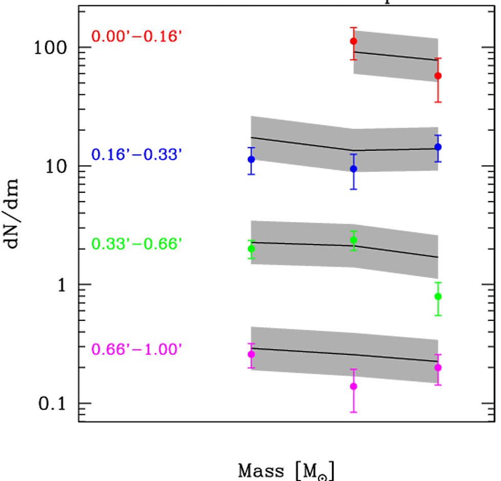
Power-law MF slope: α = -2.36


Image Source: DSS2, Aladin, CDS


Observations

Proper motion Velocity Dispersion
HST photometry Color magnitude diagram Mass function

N-body Fits

Surface density Proper motions Radial velocities
Remnant fraction Mass-to-light ratio