NGC 2107

Distance from Sun: 47200 pc
Age: 300 Myr
V-band magnitude: 11.51
Mass: 1.1 · 104 M
Half-mass radius: 6.36 pc
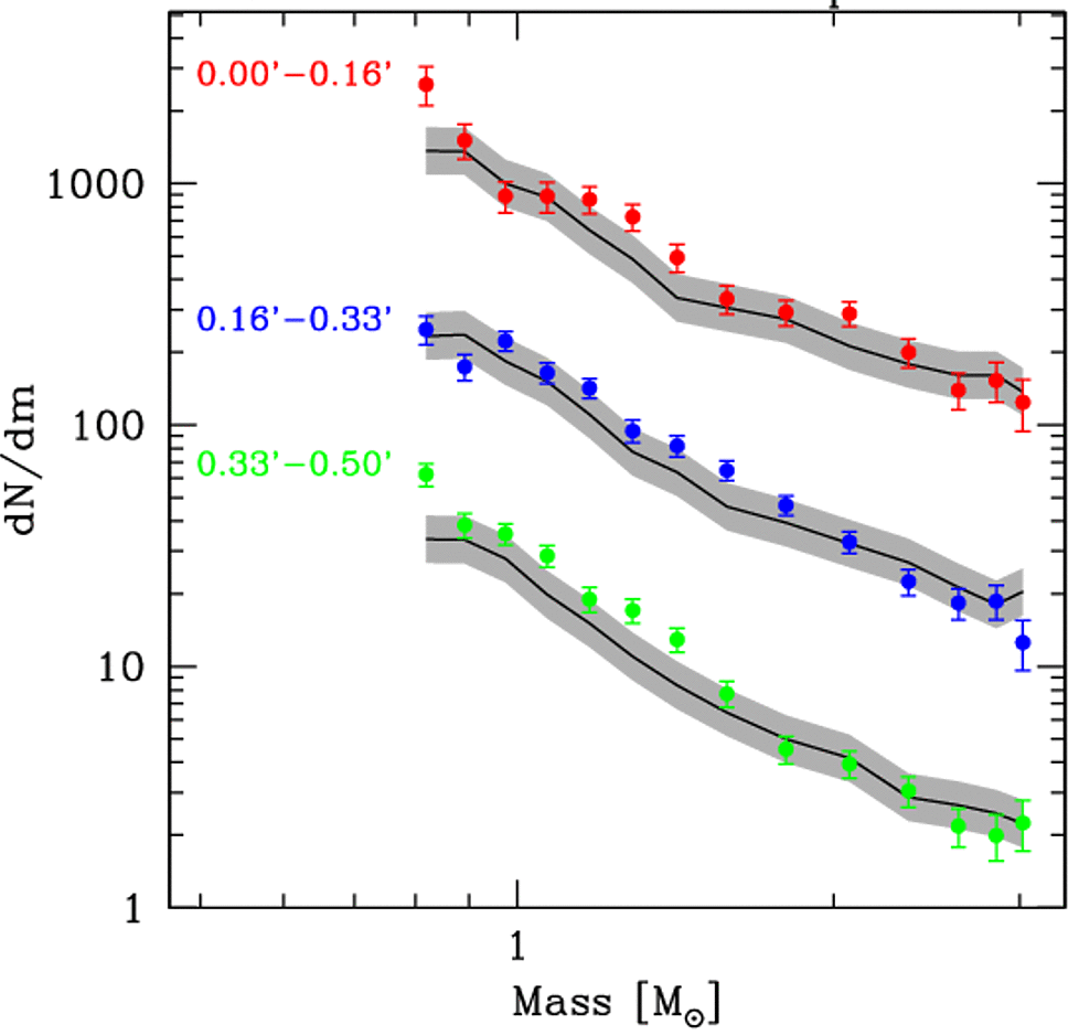
Power-law MF slope: α = -2.38


Image Source: SMASH DR2, Astro Data Lab


Observations

Proper motion Velocity Dispersion
HST photometry Color magnitude diagram Mass function

N-body Fits

Surface density Proper motions Radial velocities
Remnant fraction Mass-to-light ratio