NGC 2108

Distance from Sun: 49660 pc
Age: 1.2 Gyr
V-band magnitude: 12.32
Mass: 1.3 · 104 M
Half-mass radius: 9.74 pc
Power-law MF slope: α = -2.51


Image Source: SMASH DR2, Astro Data Lab


Observations

Proper motion Velocity Dispersion
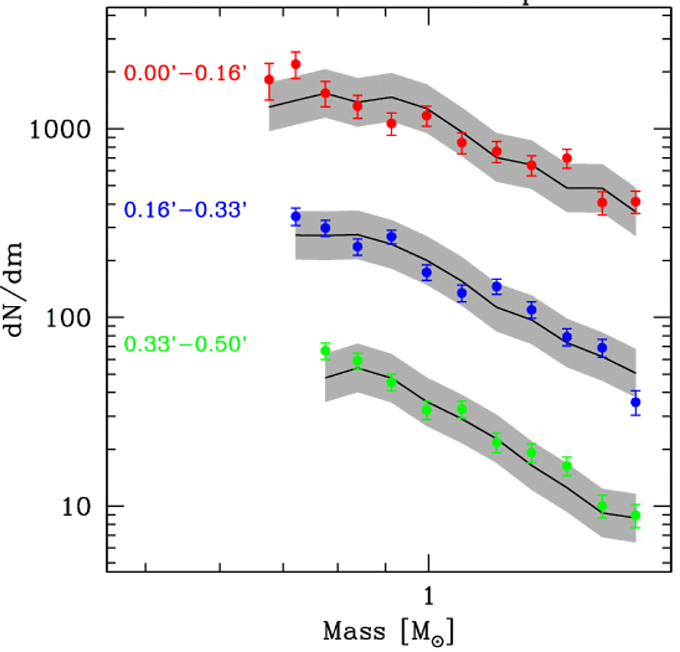
HST photometry Color magnitude diagram Mass function

N-body Fits

Surface density Proper motions Radial velocities
Remnant fraction Mass-to-light ratio