NGC 2114

Distance from Sun: 50100 pc
Age: 40.0 Myr
V-band magnitude: 13.44
Mass: 8.8 · 102 M
Half-mass radius: 3.58 pc
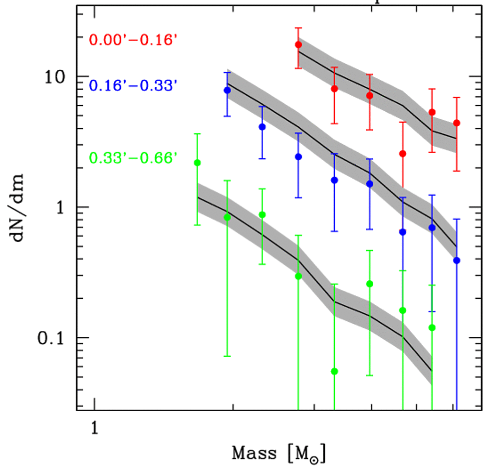
Power-law MF slope: α = -2.11


Image Source: VISTA Magellanic Clouds Survey, IoA/ROE


Observations

Proper motion Velocity Dispersion
HST photometry Color magnitude diagram Mass function

N-body Fits

Surface density Proper motions Radial velocities
Remnant fraction Mass-to-light ratio