NGC 2154

Distance from Sun: 47200 pc
Age: 2.0 Gyr
V-band magnitude: 11.85
Mass: 1.4 · 104 M
Half-mass radius: 8.60 pc
Power-law MF slope: α = -1.92


Image Source: SMASH DR2, Astro Data Lab


Observations

Proper motion Velocity Dispersion
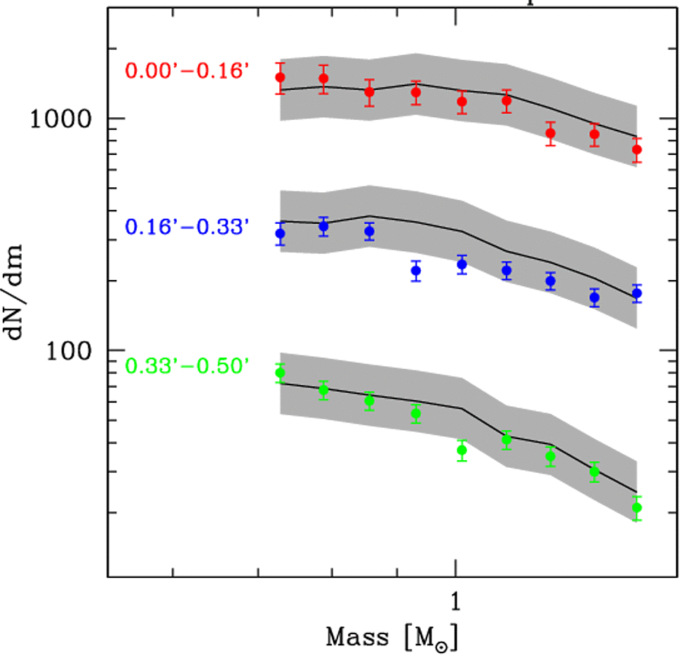
HST photometry Color magnitude diagram Mass function

N-body Fits

Surface density Proper motions Radial velocities
Remnant fraction Mass-to-light ratio