NGC 2162

Distance from Sun: 52000 pc
Age: 1.3 Gyr
V-band magnitude: 11.96
Mass: 7.8 · 103 M
Half-mass radius: 14.09 pc
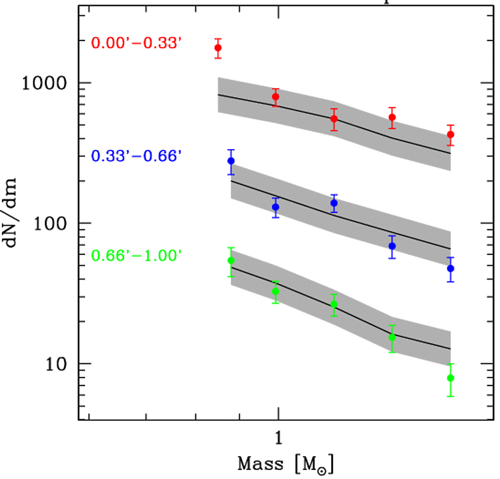
Power-law MF slope: α = -2.50


Image Source: DSS2, Aladin, CDS


Observations

Proper motion Velocity Dispersion
HST photometry Color magnitude diagram Mass function

N-body Fits

Surface density Proper motions Radial velocities
Remnant fraction Mass-to-light ratio