NGC 2213

Distance from Sun: 46990 pc
Age: 1.8 Gyr
V-band magnitude: 12.37
Mass: 1.0 · 104 M
Half-mass radius: 6.75 pc
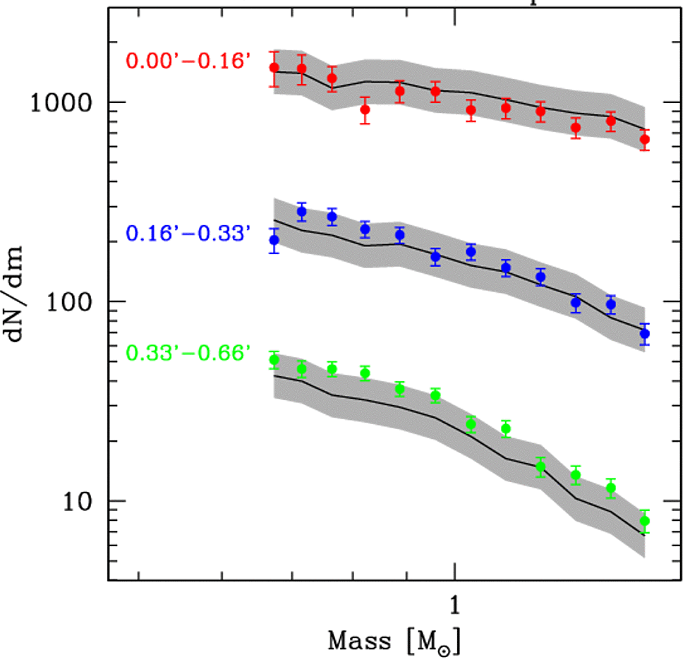
Power-law MF slope: α = -1.91


Image Source: VISTA Magellanic Clouds Survey, IoA/ROE


Observations

Proper motion Velocity Dispersion
HST photometry Color magnitude diagram Mass function

N-body Fits

Surface density Proper motions Radial velocities
Remnant fraction Mass-to-light ratio