NGC 2249

Distance from Sun: 46560 pc
Age: 1.2 Gyr
V-band magnitude: 11.95
Mass: 1.5 · 104 M
Half-mass radius: 7.43 pc
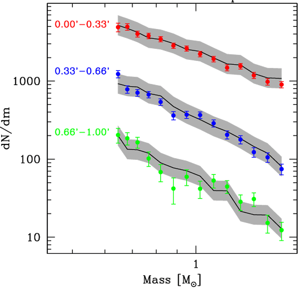
Power-law MF slope: α = -2.38


Image Source: VISTA Magellanic Clouds Survey, IoA/ROE


Observations

Proper motion Velocity Dispersion
HST photometry Color magnitude diagram Mass function

N-body Fits

Surface density Proper motions Radial velocities
Remnant fraction Mass-to-light ratio