SL 333

Distance from Sun: 49890 pc
Age: 150 Myr
V-band magnitude: 13.51
Mass: 7.8 · 102 M
Half-mass radius: 6.72 pc
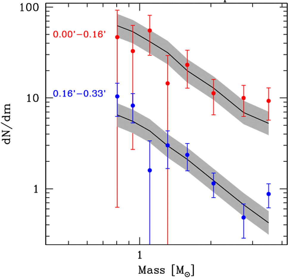
Power-law MF slope: α = -1.64


Image Source: VISTA Magellanic Clouds Survey, IoA/ROE


Observations

Proper motion Velocity Dispersion
HST photometry Color magnitude diagram Mass function

N-body Fits

Surface density Proper motions Radial velocities
Remnant fraction Mass-to-light ratio