NGC 2136

Distance from Sun: 50100 pc
Age: 20.0 Myr
V-band magnitude: 10.71
Mass: 1.0 · 104 M
Half-mass radius: 6.76 pc
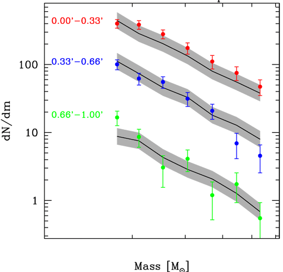
Power-law MF slope: α = -2.53


Image Source: DSS2, Aladin, CDS


Observations

Proper motion Velocity Dispersion
HST photometry Color magnitude diagram Mass function

N-body Fits

Surface density Proper motions Radial velocities
Remnant fraction Mass-to-light ratio